來源:練達化工發布日期:2018-11-05閱讀:-
不對稱型苯并噁唑類熒光增白劑的合成,根據所用原料的不同有以下兩種方法。
1.以鄰氨基苯酚及其衍生物和一元羧酸為原料
使用鄰氨基苯酚及其衍生物和一元羧酸為 原料合成不對稱型苯并嗯唑類熒光增白劑時通常加人硼酸作催化劑,反應溫度為200~240度 ,反應通式為:

若改用活潑的酰化劑如酰氯、酸酐(以二縮乙二醇為溶劑,以無水氯化鋅為脫水劑)、對苯磺酸(以氯苯為溶劑),則反應進行得比較緩和。根據所用羧酸的不同,這類反應又可分為如下幾種類型:
(1) 以苯甲酸及其衍生物為酰化劑:生成的2 -苯基苯并嗯唑較大吸收波長為98.5nm,為紫外吸收劑。

若在2-苯基上引入氨基,可使較大吸收波長增加35 ~ 40nm,若生成具有強熒光的物質,必須在2 -苯基上引人苯并三氮唑基、苯乙烯基、苯并嗯唑基等將熒光發色共軛體系延長,才能達到目的。延長共軛體系的方法有兩種。
①以對甲基苯甲酸為原料先合成2一對甲苯基苯并嗯唑。苯并嗯唑核為具有堿性的雜環化合物,2-甲苯基中的甲基和雜環氦原子相共軛,所以甲基具有活潑性。因苯并蟋唑的堿性減弱,甲基的活潑性不高,但在二甲基甲酰胺中,在固體氫氧化鉀存在下,甲基能與苯胺和芳醛生成的縮苯胺作用,生成4 -苯并噫唑基二苯乙烯增白劑。

這種結構的熒光增白劑由于既有苯并嗯唑共軛體系,又有二苯乙烯共軛體系,所以有的文獻中將其列為二苯乙烯苯并嗯唑類熒光增白劑。
若以聯苯-4-甲醛和苯胺作用生成的縮苯胺為原料,生成的4-苯并暖唑基- 4'-苯基二苯乙烯為一重要的熒光增白劑,可用于滌綸的增白。反應式為:

②將2 -氨基蘋基笨并隠哩経重氮化和苯基丙唏酸作用,生成4 -笨并嗯唑基二二蘋乙唏。這是Meerwein芳基化反立的一個特例,反應式為:


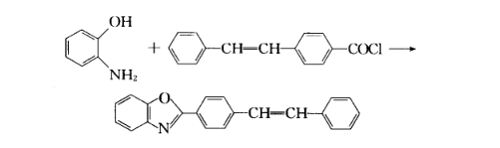
(2) 以二苯乙烯- 4 -甲酰氯為酰化劑:具有強烈熒光的4 -苯并嗯唑二苯乙烯也可由鄰氨基苯酚和二苯乙烯- 4 -甲酰氯直接作用制得。反應式為:

(3) 以苯基丙烯酸及其衍生物為酰化劑:1 -氨基- 2 -萘酚和苯基丙烯酰氯作用,可生成2 -苯乙烯- 2-桊并嗯唑,延長了發色共軛體系,吸收波長向長波方向轉移,是具有強烈熒光的增白劑。反應式為:

同樣鄰氨基對甲苯酚和4 -烷氧基羰基苯基- 2 -丙烯酰氯作用,可生成2 -苯乙烯基苯并蟋唑衍生物。反應式為:

2.以鄰氨基苯酚及其衍生物和芳醛為原料
以鄰氨基苯酚及其衍生物和芳醛縮合后環構、氧化,合成不對稱型苯并嗯唑熒光增白劑。常用的氧化劑有三氯化鐵、亞硝酸、氯化硫酰硝基苯等,例如:

合成實例:C. I.熒光增白劑269( Hostalux ET)的合成。
(1) 工藝流程:

(2)反應式:

(3)操作:在反應釜中加入一定量的溶劑鄰二氯苯、催化劑十二烷基苯磺酸和氨水,攪拌,然后加入規定量的4-甲酸甲酯苯甲醛。加熱升溫,當4 -甲酸甲酯苯甲醛溶解后,開始分批加入等份量的3,4 -二甲基-6 -乙酰氨基苯酚,加料速度以能夠溶解為宜。當全部加人后,密封反應釜,加熱升溫至190~200度,回流反應2h,蒸出溶劑及副產物。冷卻,降溫至80'C ,加人乙醇,生成的懸浮液過濾,濾餅用乙醇洗滌,干燥得黃色粉末,即為C. I.熒光增白劑269。
【本文標簽】:熒光增白劑的合成
服務熱線:400-887-8986